
因心血管病致残致死患者中,75%以上为动脉粥样硬化性疾病所致。
动脉粥样硬化发生发展过程漫长,早期病变发生于儿童期,动脉粥样硬化性疾病发病于中老年期,甚至在青壮年期。
其中冠心病和卒中首次发病就可致残或致死。
脂蛋白相关磷脂酶A2(Lp-PLA2)是动脉粥样硬化斑块中巨噬细胞衍生的酶,并被认为是一种在动脉粥样硬化进展中起核心作用的促炎生物标志物。
大量证据表明,Lp-PLA2与心血管事件(冠心病和脑梗死)风险增加相关,是血管造影的一个很好的补充,可以反映医学成像(介入或CTA等)看不到的非常小的斑块。
根据北京大学国际医院、上海交通大学医学院,首都医科大学安贞医院等国内著名机构的最新研发发表显示。
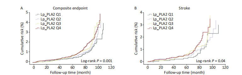
对2031名随机参与者从2010-2011年开始进行研究,在长达9.1年的中位随访中,以Lp-PLA2中位水平141.0 ng/mL为界点,共发生389例事件(19.2%),包括137例中风事件、43例主要的不良心血管事件和244例全因死亡。
随着Lp-PLA2四分位数的增加,心血管事件的累积风险,包括复合终点、卒中、MACE和全因死亡,在中位随访期间显著增加。
与最低的Lp-PLA2四分位数相比,在最高的四分位数中,发生复合终点、中风、主要不良心血管事件和全因死亡的风险比分别为1.77、1.92、1.69和1.94倍。
但与美国临床内分泌学家协会(AACE)推荐的临界点(200ng/ml)相比较,中国人发生复合事件(159ng/m)的界点相对较低。

此外,先前的研究提出,Lp-PLA2和hs-CRP可能是识别高冠心病风险个体的互补标记物。因此,结合Lp-PLA2和CRP水平可能提供一个更准确的预测未来的心血管事件。
对于年龄为65岁、Lp-PLA2水平较高的患者,特别是那些合并CRP水平较高的患者,临床医生应建议定期检查,以降低心血管事件的风险。
参考文献:Biomed Environ Sci, 2022; 35(3): 206-214
综上所述,在中国中年人群中,较高的Lp-PLA2水平与心血管事件/死亡风险的增加显著相关。但在中国和/或亚洲人群中,预测心血管事件的Lp-PLA2临界点可能较低。